
化學所特聘教授劉如熹研究團隊成果:革命性近紅外螢光材料以結構創新與機制演進開啟應用新篇章 榮登國際頂尖期刊
瀏覽器版本過舊,或未開啟 javascript
請更新瀏覽器或啟用 javascript
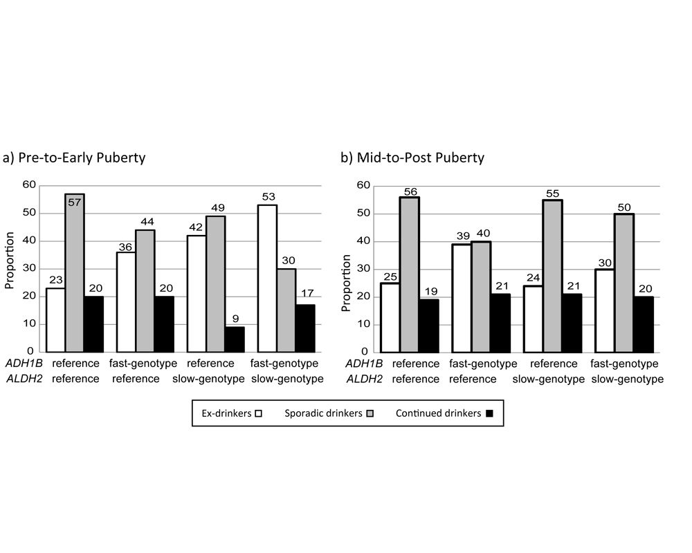
流預所陳為堅院長研究團隊之論文圖表 (Reprint with kind permission of Elsevier)
流預所陳為堅院長研究團隊之論文圖表 (Reprint with kind permission of Elsevier)
臺灣大學陳為堅教授
陽明大學陳娟瑜教授
一項由國立臺灣大學、國立陽明大學、及國家衛生研究院研究人員合作的研究發現,曾喝過酒的兒童在青少年時期是否會持續飲酒行為,與少年所帶有的酒精代謝基因變異型和少年在社群網絡所占位置有很大的關連,而基因的保護效應隨青春期發育的成熟而減弱。這個研究剛在國際期刊「藥物和酒精依賴」 (Drug and Alcohol Dependence) 最新的二月期上刊出。
過去二十年來,青少年飲酒的情形日益普遍。在臺灣, 2004 年到 2006 年短短三年間,國中生的飲酒比率從 13.97 %上升至 18.08 %,高中生則是從 13.51 %上升到 26.08 %,這是個值得探討的現象。飲酒不只會對兒童青少年造成生理、心理的傷害,其影響甚至可達成年之後。瞭解影響早期飲酒行為的因子,因此非常關鍵。這篇最新研究顯示,兒童青少年的飲酒行為受酒精代謝基因和環境因素的交互影響,在 10 歲後就開始浮現。
酒精代謝基因主要有兩個,分別是酒精去氫酶1B ( alcohol dehydrogenase 1B,簡稱ADH1B ) 和乙醛去氫酶 ( aldehyde dehydrogenase 2 ,簡稱ALDH2 )。飲酒後,酒精最先被ADH代謝成乙醛 (acetaldehyde),接著再代謝成乙酸 (或稱醋酸) ( acetate )。 ADH1B 的變異型會加速酒精代謝到乙醛的過程; ALDH2 的變異型則會減慢乙醛代謝成醋酸。這兩種變異型都會導致喝酒後體內乙醛濃度的增加,讓人容易在喝酒後感到不適,因而可能減少酒精的使用,被稱為是保護因子。帶有這兩種變異型的人,在亞洲族群中較為常見。
本研究的對象為陽明大學陳娟瑜教授團隊所建立的長期追蹤世代。一開始的對象是大臺北地區10~12 歲正要邁入青少年時期、且曾經飲酒的國小學童,藉由持續性的觀察探討日後的飲酒行為。研究資料來源為一項名為「孩童酒精相關經驗」的長期調查,內容包含了社會人口學特徵、青春期發育、飲酒與抽菸行為、酒精代謝基因 (由唾液細胞分析而得)、與孩童之朋友網絡。從國小到國中持續追蹤孩童的飲酒行為,共蒐集了四波資料。本篇研究藉由曾經喝過酒的 496 名孩童做分析,並把焦點放在探討酒精代謝基因變異以及同儕的社交網絡與飲酒行為之間的相關性。
經過臺灣大學陳為堅教授遺傳流病核心實驗室一系列的分析,該研究得到兩項重要結果:(1) 酒精代謝基因的變異型確實會減少這些少年日後持續飲酒的機會,且 ALDH2 變異型的保護作用較ADH1B 變異型更為顯著。但是,酒精代謝基因變異型的保護效力僅在青春期發育的早期看得到,到了青春期發育中後期就不明顯。 (2) 在同儕的不同次團體間扮演「溝通橋樑」角色者,較容易會持續飲酒。綜合以上結果,此篇研究第一作者丁德天博士表示:「當一個孩子在不同團體中扮演溝通橋梁,表示他有更高的機會遇到飲酒者或是接觸酒精飲料。」陳為堅教授也補充:「雖然我們發現酒精代謝基因變異型對於兒童青少年的飲酒行為有保護作用,但隨著青春期發育成熟而來的朋友網絡影響力的提升,酒精代謝基因變異型的保護作用就幾乎不見了。」
如何預防兒童青少年的酒精不當使用,是公共衛生的重要議題。經由臺大、陽明、和國衛院團隊的努力,對於影響兒童青少年飲酒行為的因子有了重要的新發現,也受到國際學術界的關注。研究團隊期盼之後有更多相關的研究與政策介入,讓兒童青少年可在免受酒精影響的健康環境下成長。
論文完整出處:
Ting, T.-T., Huang, S.-Y., Chen, K.-H., Tseng, C.-I., Lin, K.-M., Chen, C.-Y. & Chen, W. J. (2015). Effects of genetic variants of ADH1B and ALDH2 and social network on continued alcohol drinking among young adolescents in Taiwan. Drug and Alcohol Dependence 147, 38-45.
當期焦點