
A new milestone for science at NTU: The inauguration of the Max Planck-IAS-NTU Center
瀏覽器版本過舊,或未開啟 javascript
請更新瀏覽器或啟用 javascript
Spotlights
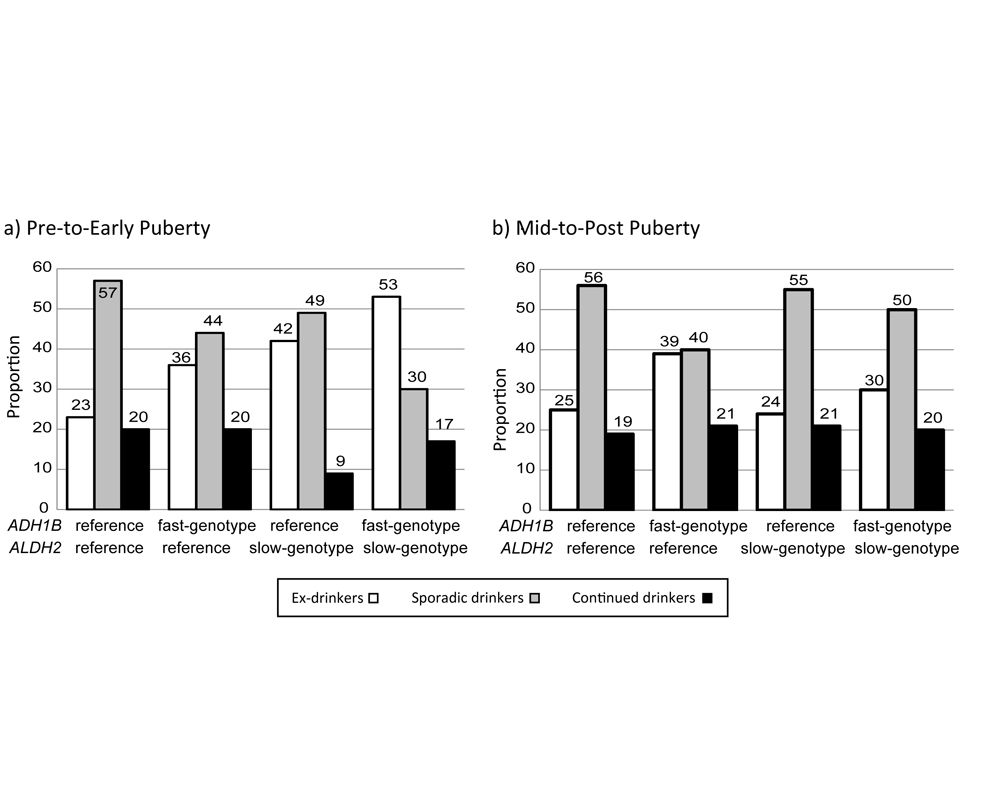
Gene variants and social relationships are integral to drinking behavior among young ex-drinkers (reprinted with kind permission of Elsevier).
Gene variants and social relationships are integral to drinking behavior among young ex-drinkers (reprinted with kind permission of Elsevier).
NYMU Prof. Chuan-Yu Chen
NTU Prof. Wei J. Chen
Alcohol consumption among adolescents triggers two gene variants that can potentially affect the child’s future drinking behavior upon reaching adulthood. This is according to a study conducted by National Taiwan University, National Yang-ming University, and National Health Research Institutes. The study was published in the February edition of the journal, Drug and Alcohol Dependence .
Statistics show that adolescent drinking is on the constant rise. Between 2004 and 2006 in Taiwan, for example, alcohol consumption among junior high school students rose from 13.97% to 18.08%, while the rate among senior high schoolers rose to 26.08% from 13.51%. As early drinking may cause permanent physical and psychological effects, the alarming numbers highlight the importance of understanding alcohol consumption among the younger population.
According to the study, the early onset of drinking triggers the variation of the two alcohol-metabolizing genes, alcohol dehydrogenase 1B (ADH1B) and aldehyde dehydrogenase 2 (ALDH2), as early as the age of 10. As both variants lead to increased concentrations of alcohol in one’s body, which increases the sense of discomfort among young alcohol users, a protective effect against alcoholism is formed as willingness to consume liquor is reduced. Scientists state that variants ADH1B and ALDH2 are more common among people of Asian ethnicity.
The initial study was conducted by NYMU Prof. Chuan-Yu Chen (陳娟瑜) among Taipei and New Taipei City children between ages 10 to 12 who have at a point in their lives consumed alcohol. The long-term observation of the 496 children was conducted in four phases where data on the subject’s socio-demographics, physical development, drinking and smoking behavior, alcohol metabolism genes, as well as social relationships was gathered. Ultimately, the research focused on the correlation between the subject’s alcohol-metabolizing genes and social relationship.
After a series of analysis, NTU Prof. Wei J. Chen (陳為堅) came to the following two conclusions. Firstly, possession of the ADH1B and ALDH2 variants reduces the likelihood of future drinking, and that the variant of ALDH2 is more effective than that of the ADH1B. Moreover, the effect that these alcohol-metabolizing genes have is more evident in early stages of puberty. Secondly, the child’s social relationship plays an even more important role in the likelihood of future drinking, so much so that social factors override initial findings of genetic influence. Lead author Te-Tian Ting (丁德天) points out that when a child plays the role of a communicator (bridge position) in a social group, he or she is more likely to come into contact with alcohol users and alcoholic beverages. As a result, Chen adds, the initial protective effect of the metabolizing genes among children can be replaced as the child grows into a teenager whose drinking habits are then dominated by peer influence.
The study is essential to understanding and thereby preventing alcohol consumption among young children. As it is an important public health issue that is receiving much international attention, the team hopes that the findings will contribute to governmental policy-making so that a healthy environment for children can be created.
Original Paper :
Ting, T.-T., Huang, S.-Y., Chen, K.-H., Tseng, C.-I., Lin, K.-M., Chen, C.-Y. & Chen, W. J. (2015). “Effects of genetic variants of ADH1B and ALDH2 and social network on continued alcohol drinking among young adolescents in Taiwan.” Drug and Alcohol Dependence 147, 38-45.

A new milestone for science at NTU: The inauguration of the Max Planck-IAS-NTU Center

A Distinguished Global Research Center Established at NTU under Trilateral Cooperation

Collaborative study between NTU and Japan uncovers the origin of Adzuki Beans and agriculture in Japan

NTU Launches Center for Innovation in Enterprise Law—with Forum Highlighting Trump’s Policy and Legal Shifts Amid Geopolitical Tensions

NTU and Ministry of Environment Sign MOU to Advance Net-Zero Transition and Environmental Resilience
Current Spotlights